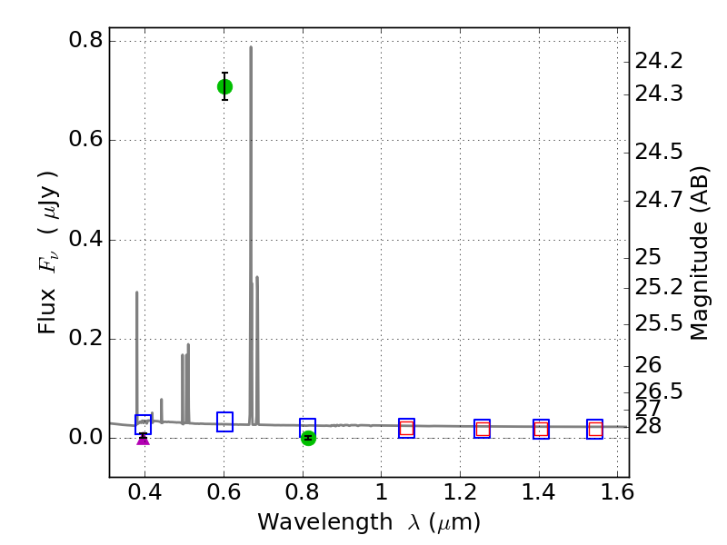
RXS0603+42-N IR detection object #304

Color images and BPZ results
Catalog: 304.cat
Black segments are analyzed here.   Roll mouse over color images to view segments.
Best viewed in a wide browser window (1200 pixels or more).   Download SED & P(z) plots to view larger versions.
In P(z) plots: Yellow lines mark the cluster redshift z = 0.228,  

Object #304   x,y = (2586, 3672)   RA, Dec = (06:03:13.680, 42:16:58.08) = (90.80700, 42.28280)   BPZ = 0.025 [0.018--3.482]   type = 11.00 (SB11_A_0_l)   stellarity = 0.89   chisq2 = 636.10   ODDS = 0.13   z_cluster = 0.228