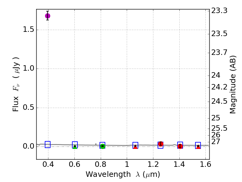
RXS0603+42-N IR detection object #3017

Color images and BPZ results
Catalog: 3017.cat
Black segments are analyzed here.   Roll mouse over color images to view segments.
Best viewed in a wide browser window (1200 pixels or more).   Download SED & P(z) plots to view larger versions.
In P(z) plots: Yellow lines mark the cluster redshift z = 0.228,  

Object #3017   x,y = (1706, 2508)   RA, Dec = (06:03:18.432, 42:15:48.24) = (90.82680, 42.26340)   BPZ = 1.728 [0.721--2.474]   type = 11.00 (SB11_A_0_l)   stellarity = 1.00   chisq2 = 211.20   ODDS = 0.33   z_cluster = 0.228