RXS0603+42-N IR detection object #2997

Color images and BPZ results
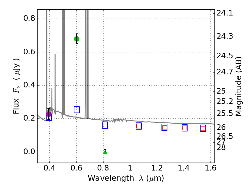
Catalog: 2997.cat
Black segments are analyzed here.   Roll mouse over color images to view segments.
Best viewed in a wide browser window (1200 pixels or more).   Download SED & P(z) plots to view larger versions.
In P(z) plots: Yellow lines mark the cluster redshift z = 0.228,  

Object #2997   x,y = (3854, 2503)   RA, Dec = (06:03:06.840, 42:15:47.88) = (90.77850, 42.26330)   BPZ = 0.017 [0.010--0.035]   type = 11.00 (SB11_A_0_l)   stellarity = 0.07   chisq2 = 211.40   ODDS = 1.00   z_cluster = 0.228