RXS0603+42-N IR detection object #2987

Color images and BPZ results
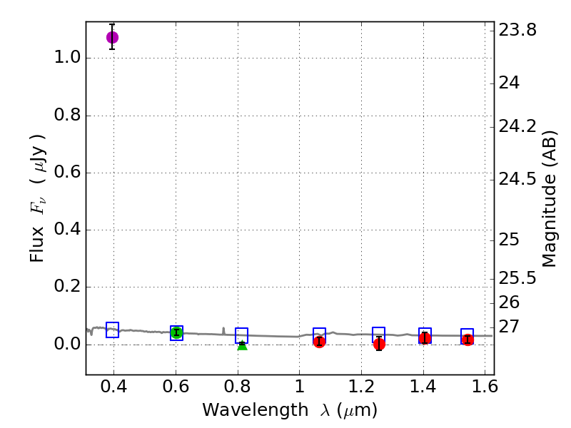
Catalog: 2987.cat
Black segments are analyzed here.   Roll mouse over color images to view segments.
Best viewed in a wide browser window (1200 pixels or more).   Download SED & P(z) plots to view larger versions.
In P(z) plots: Yellow lines mark the cluster redshift z = 0.228,  

Object #2987   x,y = (1670, 2534)   RA, Dec = (06:03:18.624, 42:15:49.68) = (90.82760, 42.26380)   BPZ = 1.699 [1.435--2.164]   type = 11.00 (SB11_A_0_l)   stellarity = 0.98   chisq2 = 145.60   ODDS = 0.52   z_cluster = 0.228