RXS0603+42-N IR detection object #2961

Color images and BPZ results
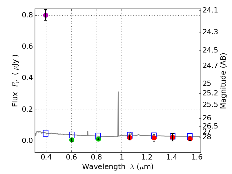
Catalog: 2961.cat
Black segments are analyzed here.   Roll mouse over color images to view segments.
Best viewed in a wide browser window (1200 pixels or more).   Download SED & P(z) plots to view larger versions.
In P(z) plots: Yellow lines mark the cluster redshift z = 0.228,  

Object #2961   x,y = (1728, 2543)   RA, Dec = (06:03:18.312, 42:15:50.40) = (90.82630, 42.26400)   BPZ = 1.611 [1.287--2.076]   type = 11.00 (SB11_A_0_l)   stellarity = 0.64   chisq2 = 120.10   ODDS = 0.46   z_cluster = 0.228