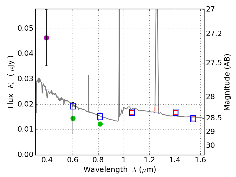
RXS0603+42-N IR detection object #2959

Color images and BPZ results
Catalog: 2959.cat
Black segments are analyzed here.   Roll mouse over color images to view segments.
Best viewed in a wide browser window (1200 pixels or more).   Download SED & P(z) plots to view larger versions.
In P(z) plots: Yellow lines mark the cluster redshift z = 0.228,  

Object #2959   x,y = (4347, 2545)   RA, Dec = (06:03:04.176, 42:15:50.40) = (90.76740, 42.26400)   BPZ = 1.595 [0.513--2.664]   type = 11.00 (SB11_A_0_l)   stellarity = 0.34   chisq2 = 4.58   ODDS = 0.16   z_cluster = 0.228