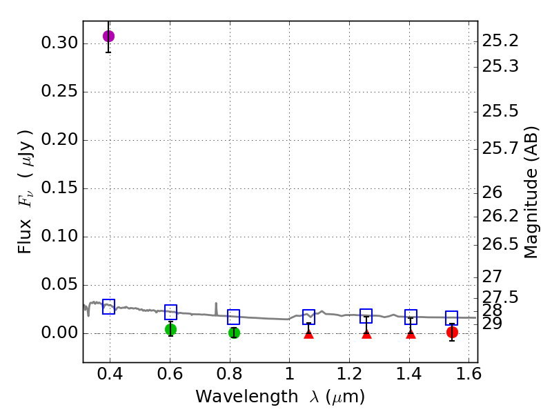
RXS0603+42-N IR detection object #2945

Color images and BPZ results
Catalog: 2945.cat
Black segments are analyzed here.   Roll mouse over color images to view segments.
Best viewed in a wide browser window (1200 pixels or more).   Download SED & P(z) plots to view larger versions.
In P(z) plots: Yellow lines mark the cluster redshift z = 0.228,  

Object #2945   x,y = (1986, 2552)   RA, Dec = (06:03:16.920, 42:15:50.76) = (90.82050, 42.26410)   BPZ = 1.700 [1.282--2.205]   type = 11.00 (SB11_A_0_l)   stellarity = 0.75   chisq2 = 70.19   ODDS = 0.50   z_cluster = 0.228