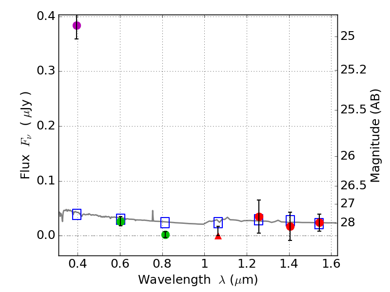
RXS0603+42-N IR detection object #2932

Color images and BPZ results
Catalog: 2932.cat
Black segments are analyzed here.   Roll mouse over color images to view segments.
Best viewed in a wide browser window (1200 pixels or more).   Download SED & P(z) plots to view larger versions.
In P(z) plots: Yellow lines mark the cluster redshift z = 0.228,  

Object #2932   x,y = (1711, 2556)   RA, Dec = (06:03:18.408, 42:15:51.12) = (90.82670, 42.26420)   BPZ = 1.696 [1.316--2.218]   type = 11.00 (SB11_A_0_l)   stellarity = 0.64   chisq2 = 48.32   ODDS = 0.41   z_cluster = 0.228