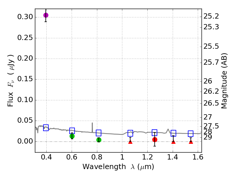
RXS0603+42-N IR detection object #2931

Color images and BPZ results
Catalog: 2931.cat
Black segments are analyzed here.   Roll mouse over color images to view segments.
Best viewed in a wide browser window (1200 pixels or more).   Download SED & P(z) plots to view larger versions.
In P(z) plots: Yellow lines mark the cluster redshift z = 0.228,  

Object #2931   x,y = (2694, 2557)   RA, Dec = (06:03:13.104, 42:15:51.12) = (90.80460, 42.26420)   BPZ = 1.731 [1.456--2.131]   type = 11.00 (SB11_A_0_l)   stellarity = 0.83   chisq2 = 72.68   ODDS = 0.56   z_cluster = 0.228