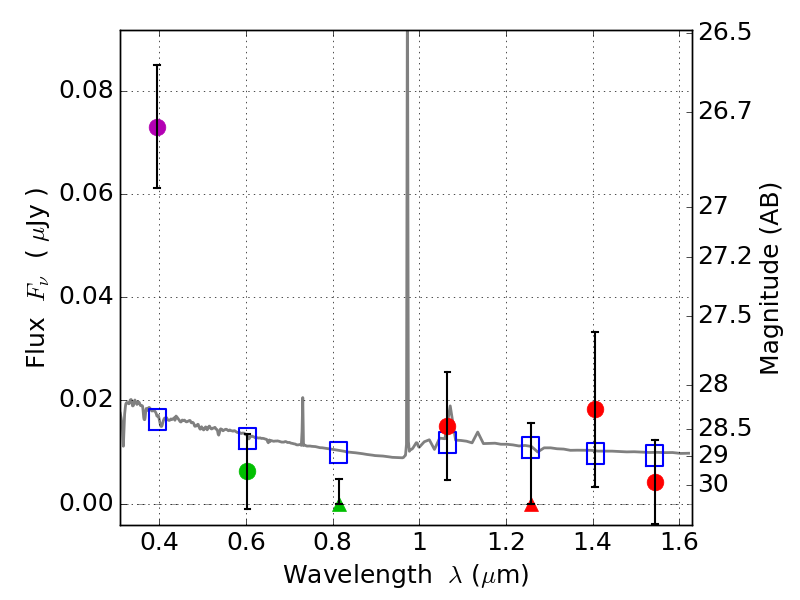
RXS0603+42-N IR detection object #2865

Color images and BPZ results
Catalog: 2865.cat
Black segments are analyzed here.   Roll mouse over color images to view segments.
Best viewed in a wide browser window (1200 pixels or more).   Download SED & P(z) plots to view larger versions.
In P(z) plots: Yellow lines mark the cluster redshift z = 0.228,  

Object #2865   x,y = (3187, 2580)   RA, Dec = (06:03:10.440, 42:15:52.56) = (90.79350, 42.26460)   BPZ = 1.612 [0.476--3.492]   type = 11.00 (SB11_A_0_l)   stellarity = 0.46   chisq2 = 7.21   ODDS = 0.18   z_cluster = 0.228