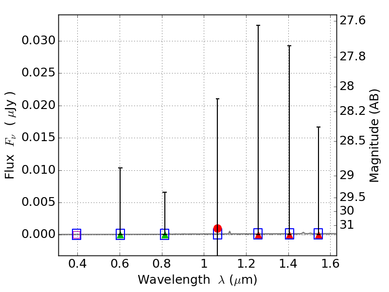
RXS0603+42-N IR detection object #2859

Color images and BPZ results
Catalog: 2859.cat
Black segments are analyzed here.   Roll mouse over color images to view segments.
Best viewed in a wide browser window (1200 pixels or more).   Download SED & P(z) plots to view larger versions.
In P(z) plots: Yellow lines mark the cluster redshift z = 0.228,  

Object #2859   x,y = (1823, 2580)   RA, Dec = (06:03:17.808, 42:15:52.56) = (90.82420, 42.26460)   BPZ = 1.239 [0.350--9.327]   type = 8.70 (SB2_B10 - SB1_B10)   stellarity = 1.00   chisq2 = 900.00   ODDS = 0.05   z_cluster = 0.228