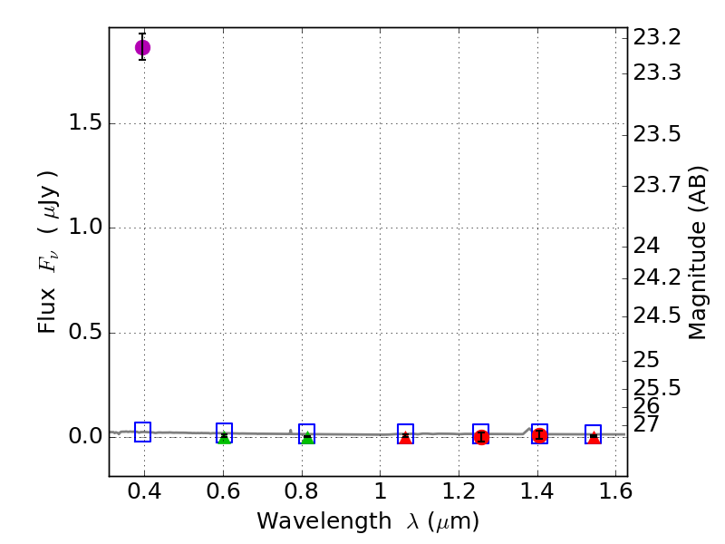
RXS0603+42-N IR detection object #2829

Color images and BPZ results
Catalog: 2829.cat
Black segments are analyzed here.   Roll mouse over color images to view segments.
Best viewed in a wide browser window (1200 pixels or more).   Download SED & P(z) plots to view larger versions.
In P(z) plots: Yellow lines mark the cluster redshift z = 0.228,  

Object #2829   x,y = (1718, 2590)   RA, Dec = (06:03:18.384, 42:15:52.92) = (90.82660, 42.26470)   BPZ = 1.762 [0.541--6.120]   type = 11.00 (SB11_A_0_l)   stellarity = 0.99   chisq2 = 210.80   ODDS = 0.21   z_cluster = 0.228