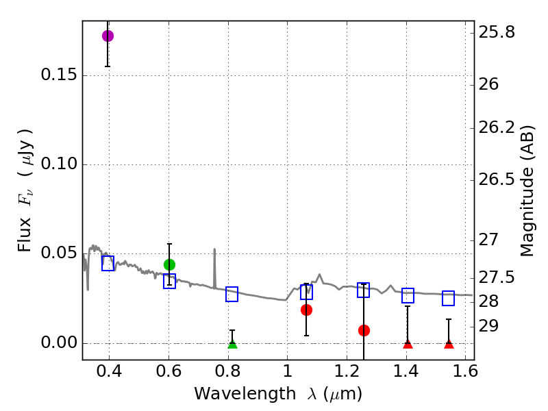
RXS0603+42-N IR detection object #2761

Color images and BPZ results
Catalog: 2761.cat
Black segments are analyzed here.   Roll mouse over color images to view segments.
Best viewed in a wide browser window (1200 pixels or more).   Download SED & P(z) plots to view larger versions.
In P(z) plots: Yellow lines mark the cluster redshift z = 0.228,  

Object #2761   x,y = (2009, 2616)   RA, Dec = (06:03:16.800, 42:15:54.72) = (90.82000, 42.26520)   BPZ = 1.702 [1.340--2.207]   type = 11.00 (SB11_A_0_l)   stellarity = 0.36   chisq2 = 17.99   ODDS = 0.53   z_cluster = 0.228