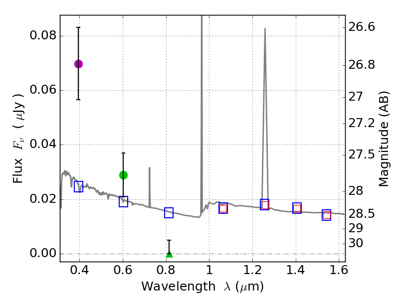
RXS0603+42-N IR detection object #2698

Color images and BPZ results
Catalog: 2698.cat
Black segments are analyzed here.   Roll mouse over color images to view segments.
Best viewed in a wide browser window (1200 pixels or more).   Download SED & P(z) plots to view larger versions.
In P(z) plots: Yellow lines mark the cluster redshift z = 0.228,  

Object #2698   x,y = (4116, 2645)   RA, Dec = (06:03:05.400, 42:15:56.52) = (90.77250, 42.26570)   BPZ = 1.595 [0.830--2.577]   type = 11.00 (SB11_A_0_l)   stellarity = 0.35   chisq2 = 21.02   ODDS = 0.23   z_cluster = 0.228