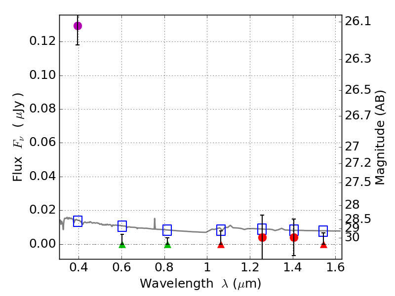
RXS0603+42-N IR detection object #2694

Color images and BPZ results
Catalog: 2694.cat
Black segments are analyzed here.   Roll mouse over color images to view segments.
Best viewed in a wide browser window (1200 pixels or more).   Download SED & P(z) plots to view larger versions.
In P(z) plots: Yellow lines mark the cluster redshift z = 0.228,  

Object #2694   x,y = (3275, 2647)   RA, Dec = (06:03:09.960, 42:15:56.52) = (90.79150, 42.26570)   BPZ = 1.699 [0.600--3.276]   type = 11.00 (SB11_A_0_l)   stellarity = 0.43   chisq2 = 27.29   ODDS = 0.26   z_cluster = 0.228