RXS0603+42-N IR detection object #2662

Color images and BPZ results
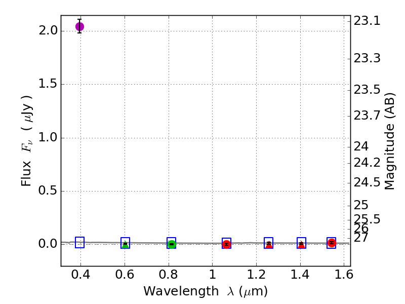
Catalog: 2662.cat
Black segments are analyzed here.   Roll mouse over color images to view segments.
Best viewed in a wide browser window (1200 pixels or more).   Download SED & P(z) plots to view larger versions.
In P(z) plots: Yellow lines mark the cluster redshift z = 0.228,  

Object #2662   x,y = (1776, 2658)   RA, Dec = (06:03:18.072, 42:15:57.24) = (90.82530, 42.26590)   BPZ = 1.857 [0.548--5.321]   type = 11.00 (SB11_A_0_l)   stellarity = 0.86   chisq2 = 238.00   ODDS = 0.17   z_cluster = 0.228