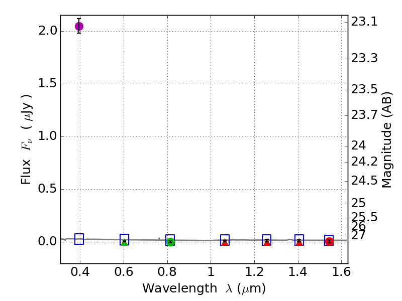
RXS0603+42-N IR detection object #2653

Color images and BPZ results
Catalog: 2653.cat
Black segments are analyzed here.   Roll mouse over color images to view segments.
Best viewed in a wide browser window (1200 pixels or more).   Download SED & P(z) plots to view larger versions.
In P(z) plots: Yellow lines mark the cluster redshift z = 0.228,  

Object #2653   x,y = (1739, 2661)   RA, Dec = (06:03:18.264, 42:15:57.24) = (90.82610, 42.26590)   BPZ = 1.732 [0.568--4.631]   type = 11.00 (SB11_A_0_l)   stellarity = 0.71   chisq2 = 215.80   ODDS = 0.23   z_cluster = 0.228