RXS0603+42-N IR detection object #2652

Color images and BPZ results
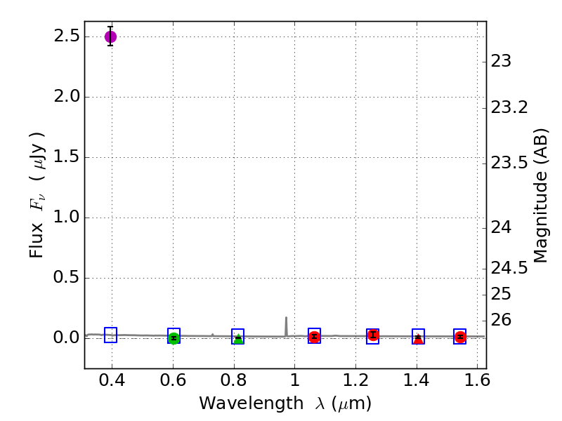
Catalog: 2652.cat
Black segments are analyzed here.   Roll mouse over color images to view segments.
Best viewed in a wide browser window (1200 pixels or more).   Download SED & P(z) plots to view larger versions.
In P(z) plots: Yellow lines mark the cluster redshift z = 0.228,  

Object #2652   x,y = (1742, 2651)   RA, Dec = (06:03:18.240, 42:15:56.88) = (90.82600, 42.26580)   BPZ = 1.612 [0.641--3.319]   type = 11.00 (SB11_A_0_l)   stellarity = 0.66   chisq2 = 245.00   ODDS = 0.22   z_cluster = 0.228