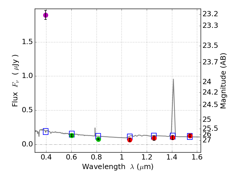
RXS0603+42-N IR detection object #2639

Color images and BPZ results
Catalog: 2639.cat
Black segments are analyzed here.   Roll mouse over color images to view segments.
Best viewed in a wide browser window (1200 pixels or more).   Download SED & P(z) plots to view larger versions.
In P(z) plots: Yellow lines mark the cluster redshift z = 0.228,  

Object #2639   x,y = (1820, 2707)   RA, Dec = (06:03:17.832, 42:16:00.12) = (90.82430, 42.26670)   BPZ = 1.825 [1.570--2.000]   type = 11.00 (SB11_A_0_l)   stellarity = 0.93   chisq2 = 166.10   ODDS = 0.67   z_cluster = 0.228