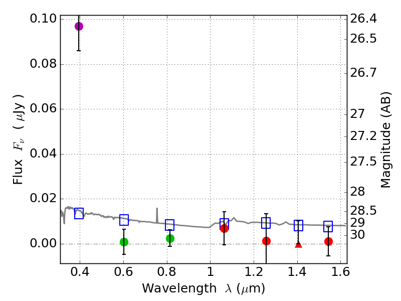
RXS0603+42-N IR detection object #2635

Color images and BPZ results
Catalog: 2635.cat
Black segments are analyzed here.   Roll mouse over color images to view segments.
Best viewed in a wide browser window (1200 pixels or more).   Download SED & P(z) plots to view larger versions.
In P(z) plots: Yellow lines mark the cluster redshift z = 0.228,  

Object #2635   x,y = (3000, 2664)   RA, Dec = (06:03:11.448, 42:15:57.60) = (90.79770, 42.26600)   BPZ = 1.703 [0.509--3.031]   type = 11.00 (SB11_A_0_l)   stellarity = 0.45   chisq2 = 16.21   ODDS = 0.24   z_cluster = 0.228