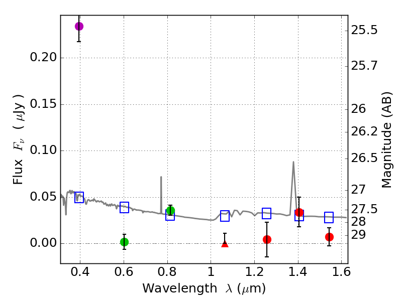
RXS0603+42-N IR detection object #2630

Color images and BPZ results
Catalog: 2630.cat
Black segments are analyzed here.   Roll mouse over color images to view segments.
Best viewed in a wide browser window (1200 pixels or more).   Download SED & P(z) plots to view larger versions.
In P(z) plots: Yellow lines mark the cluster redshift z = 0.228,  

Object #2630   x,y = (1865, 2667)   RA, Dec = (06:03:17.592, 42:15:57.60) = (90.82330, 42.26600)   BPZ = 1.762 [0.788--2.191]   type = 11.00 (SB11_A_0_l)   stellarity = 0.66   chisq2 = 35.36   ODDS = 0.39   z_cluster = 0.228