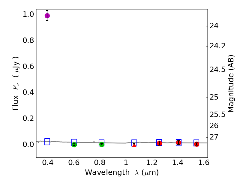
RXS0603+42-N IR detection object #2605

Color images and BPZ results
Catalog: 2605.cat
Black segments are analyzed here.   Roll mouse over color images to view segments.
Best viewed in a wide browser window (1200 pixels or more).   Download SED & P(z) plots to view larger versions.
In P(z) plots: Yellow lines mark the cluster redshift z = 0.228,  

Object #2605   x,y = (1785, 2679)   RA, Dec = (06:03:18.000, 42:15:58.32) = (90.82500, 42.26620)   BPZ = 1.696 [0.902--2.368]   type = 11.00 (SB11_A_0_l)   stellarity = 0.97   chisq2 = 160.50   ODDS = 0.35   z_cluster = 0.228