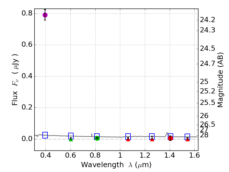
RXS0603+42-N IR detection object #2599

Color images and BPZ results
Catalog: 2599.cat
Black segments are analyzed here.   Roll mouse over color images to view segments.
Best viewed in a wide browser window (1200 pixels or more).   Download SED & P(z) plots to view larger versions.
In P(z) plots: Yellow lines mark the cluster redshift z = 0.228,  

Object #2599   x,y = (1774, 2681)   RA, Dec = (06:03:18.072, 42:15:58.68) = (90.82530, 42.26630)   BPZ = 1.763 [0.823--2.398]   type = 11.00 (SB11_A_0_l)   stellarity = 0.93   chisq2 = 138.70   ODDS = 0.34   z_cluster = 0.228