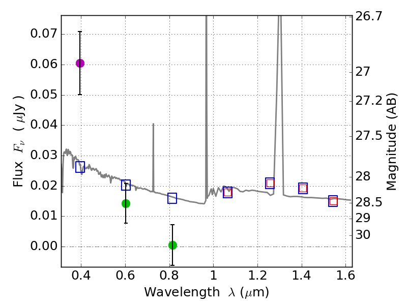
RXS0603+42-N IR detection object #2597

Color images and BPZ results
Catalog: 2597.cat
Black segments are analyzed here.   Roll mouse over color images to view segments.
Best viewed in a wide browser window (1200 pixels or more).   Download SED & P(z) plots to view larger versions.
In P(z) plots: Yellow lines mark the cluster redshift z = 0.228,  

Object #2597   x,y = (4384, 2681)   RA, Dec = (06:03:03.960, 42:15:58.68) = (90.76650, 42.26630)   BPZ = 1.597 [0.906--2.440]   type = 11.00 (SB11_A_0_l)   stellarity = 0.55   chisq2 = 16.43   ODDS = 0.22   z_cluster = 0.228