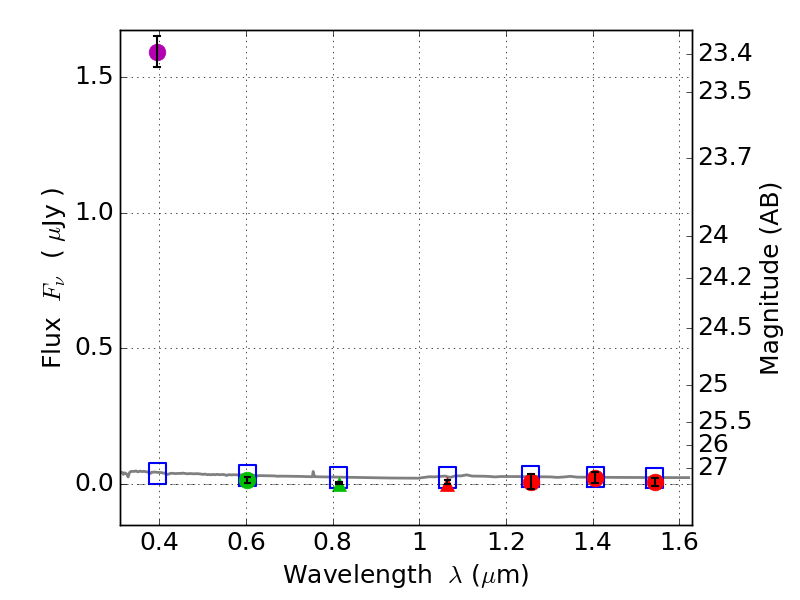
RXS0603+42-N IR detection object #2584

Color images and BPZ results
Catalog: 2584.cat
Black segments are analyzed here.   Roll mouse over color images to view segments.
Best viewed in a wide browser window (1200 pixels or more).   Download SED & P(z) plots to view larger versions.
In P(z) plots: Yellow lines mark the cluster redshift z = 0.228,  

Object #2584   x,y = (1746, 2684)   RA, Dec = (06:03:18.216, 42:15:58.68) = (90.82590, 42.26630)   BPZ = 1.697 [1.132--2.288]   type = 11.00 (SB11_A_0_l)   stellarity = 0.82   chisq2 = 187.80   ODDS = 0.40   z_cluster = 0.228