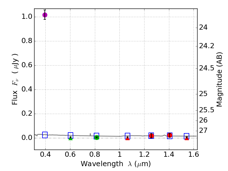
RXS0603+42-N IR detection object #2557

Color images and BPZ results
Catalog: 2557.cat
Black segments are analyzed here.   Roll mouse over color images to view segments.
Best viewed in a wide browser window (1200 pixels or more).   Download SED & P(z) plots to view larger versions.
In P(z) plots: Yellow lines mark the cluster redshift z = 0.228,  

Object #2557   x,y = (1760, 2698)   RA, Dec = (06:03:18.144, 42:15:59.76) = (90.82560, 42.26660)   BPZ = 1.727 [0.861--2.374]   type = 11.00 (SB11_A_0_l)   stellarity = 0.95   chisq2 = 160.90   ODDS = 0.37   z_cluster = 0.228