RXS0603+42-N IR detection object #2554

Color images and BPZ results
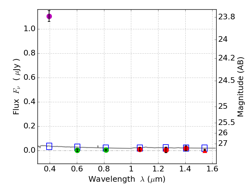
Catalog: 2554.cat
Black segments are analyzed here.   Roll mouse over color images to view segments.
Best viewed in a wide browser window (1200 pixels or more).   Download SED & P(z) plots to view larger versions.
In P(z) plots: Yellow lines mark the cluster redshift z = 0.228,  

Object #2554   x,y = (1793, 2700)   RA, Dec = (06:03:17.976, 42:15:59.76) = (90.82490, 42.26660)   BPZ = 1.700 [0.982--2.273]   type = 11.00 (SB11_A_0_l)   stellarity = 0.87   chisq2 = 143.40   ODDS = 0.44   z_cluster = 0.228