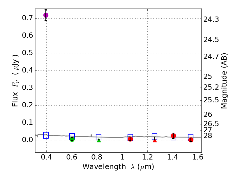
RXS0603+42-N IR detection object #2551

Color images and BPZ results
Catalog: 2551.cat
Black segments are analyzed here.   Roll mouse over color images to view segments.
Best viewed in a wide browser window (1200 pixels or more).   Download SED & P(z) plots to view larger versions.
In P(z) plots: Yellow lines mark the cluster redshift z = 0.228,  

Object #2551   x,y = (1784, 2701)   RA, Dec = (06:03:18.024, 42:15:59.76) = (90.82510, 42.26660)   BPZ = 1.697 [1.042--2.287]   type = 11.00 (SB11_A_0_l)   stellarity = 0.99   chisq2 = 118.50   ODDS = 0.42   z_cluster = 0.228