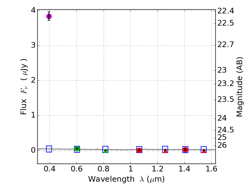
RXS0603+42-N IR detection object #2549

Color images and BPZ results
Catalog: 2549.cat
Black segments are analyzed here.   Roll mouse over color images to view segments.
Best viewed in a wide browser window (1200 pixels or more).   Download SED & P(z) plots to view larger versions.
In P(z) plots: Yellow lines mark the cluster redshift z = 0.228,  

Object #2549   x,y = (1803, 2699)   RA, Dec = (06:03:17.904, 42:15:59.76) = (90.82460, 42.26660)   BPZ = 1.699 [0.964--2.485]   type = 11.00 (SB11_A_0_l)   stellarity = 0.93   chisq2 = 262.60   ODDS = 0.37   z_cluster = 0.228