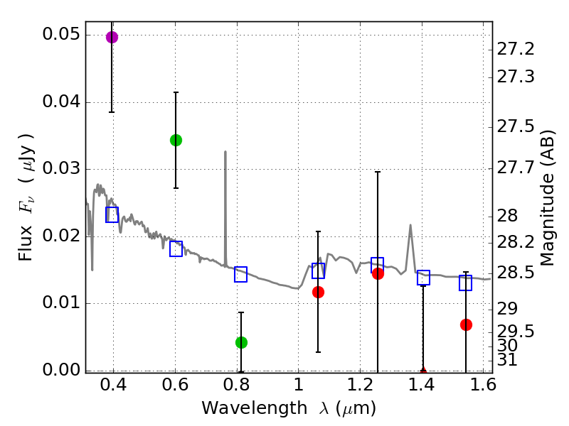
RXS0603+42-N IR detection object #2538

Color images and BPZ results
Catalog: 2538.cat
Black segments are analyzed here.   Roll mouse over color images to view segments.
Best viewed in a wide browser window (1200 pixels or more).   Download SED & P(z) plots to view larger versions.
In P(z) plots: Yellow lines mark the cluster redshift z = 0.228,  

Object #2538   x,y = (3714, 2706)   RA, Dec = (06:03:07.584, 42:16:00.12) = (90.78160, 42.26670)   BPZ = 1.734 [0.554--2.761]   type = 11.00 (SB11_A_0_l)   stellarity = 0.37   chisq2 = 4.25   ODDS = 0.28   z_cluster = 0.228