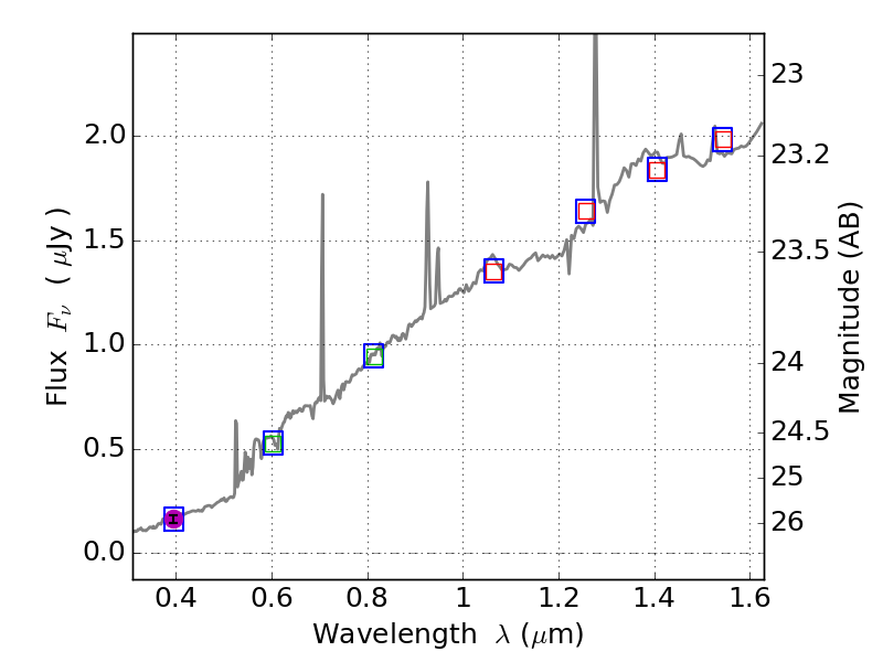
RXS0603+42-N IR detection object #2522

Color images and BPZ results
Catalog: 2522.cat
Black segments are analyzed here.   Roll mouse over color images to view segments.
Best viewed in a wide browser window (1200 pixels or more).   Download SED & P(z) plots to view larger versions.
In P(z) plots: Yellow lines mark the cluster redshift z = 0.228,  

Object #2522   x,y = (4934, 2706)   RA, Dec = (06:03:00.984, 42:16:00.12) = (90.75410, 42.26670)   BPZ = 0.408 [0.051--0.865]   type = 6.80 (Scd_B10 - Sbc_B10)   stellarity = 0.77   chisq2 = 990.00   ODDS = 0.21   z_cluster = 0.228