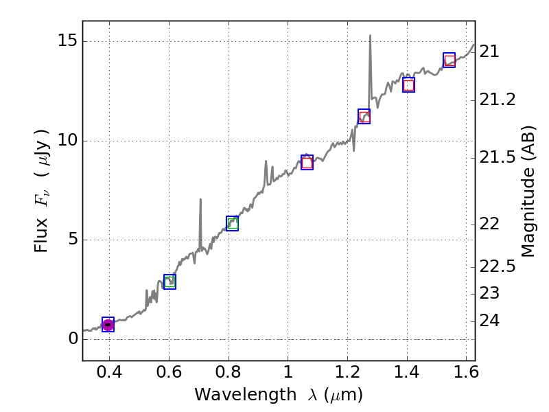
RXS0603+42-N IR detection object #2509

Color images and BPZ results
Catalog: 2509.cat
Black segments are analyzed here.   Roll mouse over color images to view segments.
Best viewed in a wide browser window (1200 pixels or more).   Download SED & P(z) plots to view larger versions.
In P(z) plots: Yellow lines mark the cluster redshift z = 0.228,  

Object #2509   x,y = (4821, 2717)   RA, Dec = (06:03:01.608, 42:16:00.48) = (90.75670, 42.26680)   BPZ = 0.408 [0.051--0.865]   type = 6.30 (Sbc_B10 - Scd_B10)   stellarity = 0.94   chisq2 = 990.00   ODDS = 0.21   z_cluster = 0.228