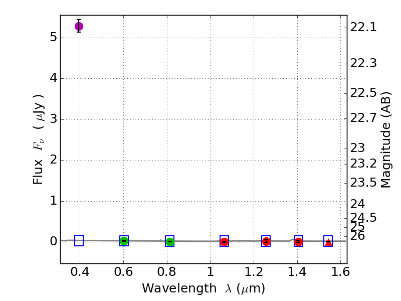
RXS0603+42-N IR detection object #2491

Color images and BPZ results
Catalog: 2491.cat
Black segments are analyzed here.   Roll mouse over color images to view segments.
Best viewed in a wide browser window (1200 pixels or more).   Download SED & P(z) plots to view larger versions.
In P(z) plots: Yellow lines mark the cluster redshift z = 0.228,  

Object #2491   x,y = (1762, 2724)   RA, Dec = (06:03:18.144, 42:16:01.20) = (90.82560, 42.26700)   BPZ = 1.762 [0.441--2.808]   type = 11.00 (SB11_A_0_l)   stellarity = 1.00   chisq2 = 281.80   ODDS = 0.25   z_cluster = 0.228