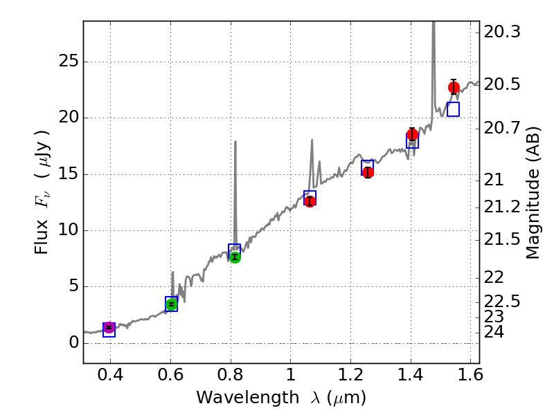
RXS0603+42-N IR detection object #2483

Color images and BPZ results
Catalog: 2483.cat
Black segments are analyzed here.   Roll mouse over color images to view segments.
Best viewed in a wide browser window (1200 pixels or more).   Download SED & P(z) plots to view larger versions.
In P(z) plots: Yellow lines mark the cluster redshift z = 0.228,  

Object #2483   x,y = (2386, 2715)   RA, Dec = (06:03:14.760, 42:16:00.48) = (90.81150, 42.26680)   BPZ = 0.627 [0.566--0.692]   type = 6.60 (Scd_B10 - Sbc_B10)   stellarity = 0.03   chisq2 = 0.53   ODDS = 0.96   z_cluster = 0.228