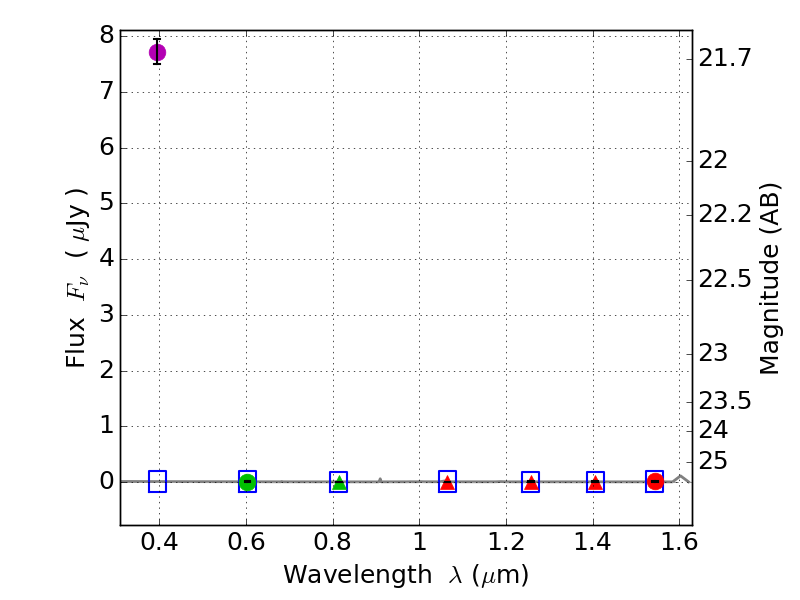
RXS0603+42-N IR detection object #2428

Color images and BPZ results
Catalog: 2428.cat
Black segments are analyzed here.   Roll mouse over color images to view segments.
Best viewed in a wide browser window (1200 pixels or more).   Download SED & P(z) plots to view larger versions.
In P(z) plots: Yellow lines mark the cluster redshift z = 0.228,  

Object #2428   x,y = (1772, 2738)   RA, Dec = (06:03:18.072, 42:16:01.92) = (90.82530, 42.26720)   BPZ = 1.440 [0.300--7.205]   type = 11.00 (SB11_A_0_l)   stellarity = 0.93   chisq2 = 287.00   ODDS = 0.08   z_cluster = 0.228