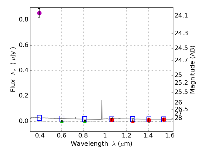
RXS0603+42-N IR detection object #2410

Color images and BPZ results
Catalog: 2410.cat
Black segments are analyzed here.   Roll mouse over color images to view segments.
Best viewed in a wide browser window (1200 pixels or more).   Download SED & P(z) plots to view larger versions.
In P(z) plots: Yellow lines mark the cluster redshift z = 0.228,  

Object #2410   x,y = (1778, 2750)   RA, Dec = (06:03:18.048, 42:16:02.64) = (90.82520, 42.26740)   BPZ = 1.611 [0.997--2.297]   type = 11.00 (SB11_A_0_l)   stellarity = 0.98   chisq2 = 143.60   ODDS = 0.30   z_cluster = 0.228