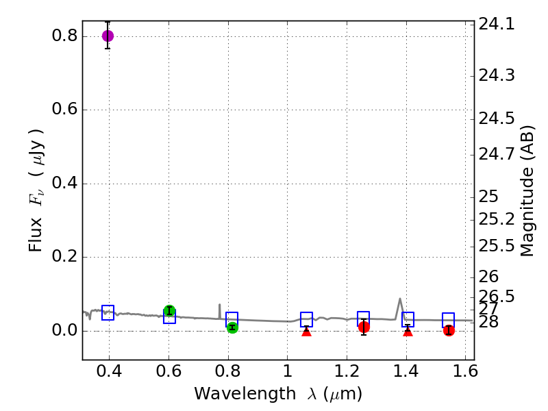
RXS0603+42-N IR detection object #2405

Color images and BPZ results
Catalog: 2405.cat
Black segments are analyzed here.   Roll mouse over color images to view segments.
Best viewed in a wide browser window (1200 pixels or more).   Download SED & P(z) plots to view larger versions.
In P(z) plots: Yellow lines mark the cluster redshift z = 0.228,  

Object #2405   x,y = (1836, 2752)   RA, Dec = (06:03:17.736, 42:16:03.00) = (90.82390, 42.26750)   BPZ = 1.764 [1.554--2.188]   type = 11.00 (SB11_A_0_l)   stellarity = 0.94   chisq2 = 112.40   ODDS = 0.53   z_cluster = 0.228