RXS0603+42-N IR detection object #2386

Color images and BPZ results
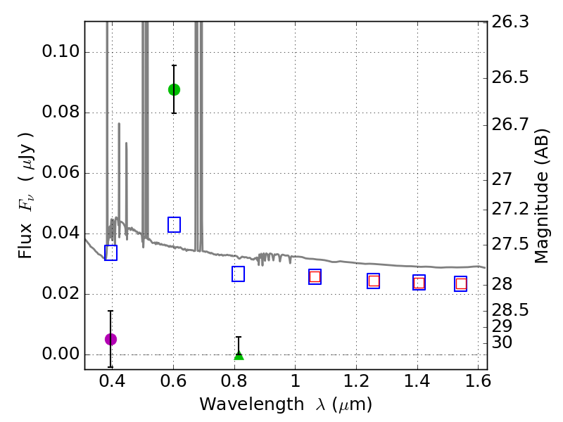
Catalog: 2386.cat
Black segments are analyzed here.   Roll mouse over color images to view segments.
Best viewed in a wide browser window (1200 pixels or more).   Download SED & P(z) plots to view larger versions.
In P(z) plots: Yellow lines mark the cluster redshift z = 0.228,  

Object #2386   x,y = (4309, 2760)   RA, Dec = (06:03:04.368, 42:16:03.36) = (90.76820, 42.26760)   BPZ = 0.026 [0.012--3.275]   type = 11.00 (SB11_A_0_l)   stellarity = 0.59   chisq2 = 53.71   ODDS = 0.51   z_cluster = 0.228