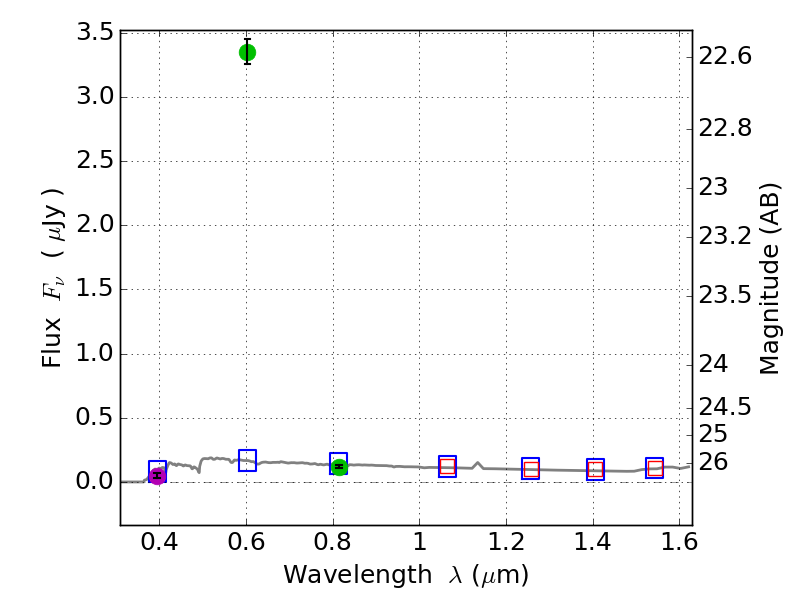
RXS0603+42-N IR detection object #237

Color images and BPZ results
Catalog: 237.cat
Black segments are analyzed here.   Roll mouse over color images to view segments.
Best viewed in a wide browser window (1200 pixels or more).   Download SED & P(z) plots to view larger versions.
In P(z) plots: Yellow lines mark the cluster redshift z = 0.228,  

Object #237   x,y = (2497, 3698)   RA, Dec = (06:03:14.160, 42:16:59.52) = (90.80900, 42.28320)   BPZ = 3.048 [2.851--3.270]   type = 11.00 (SB11_A_0_l)   stellarity = 0.96   chisq2 = 998.50   ODDS = 0.87   z_cluster = 0.228