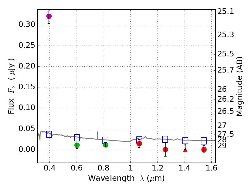
RXS0603+42-N IR detection object #2312

Color images and BPZ results
Catalog: 2312.cat
Black segments are analyzed here.   Roll mouse over color images to view segments.
Best viewed in a wide browser window (1200 pixels or more).   Download SED & P(z) plots to view larger versions.
In P(z) plots: Yellow lines mark the cluster redshift z = 0.228,  

Object #2312   x,y = (1865, 2782)   RA, Dec = (06:03:17.568, 42:16:04.44) = (90.82320, 42.26790)   BPZ = 1.702 [1.313--2.102]   type = 11.00 (SB11_A_0_l)   stellarity = 0.69   chisq2 = 63.97   ODDS = 0.60   z_cluster = 0.228