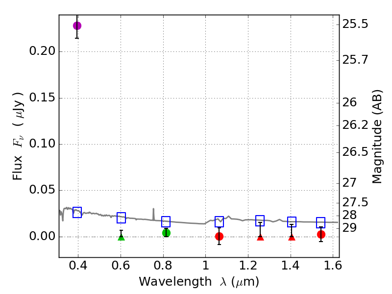
RXS0603+42-N IR detection object #2298

Color images and BPZ results
Catalog: 2298.cat
Black segments are analyzed here.   Roll mouse over color images to view segments.
Best viewed in a wide browser window (1200 pixels or more).   Download SED & P(z) plots to view larger versions.
In P(z) plots: Yellow lines mark the cluster redshift z = 0.228,  

Object #2298   x,y = (2105, 2787)   RA, Dec = (06:03:16.296, 42:16:04.80) = (90.81790, 42.26800)   BPZ = 1.700 [1.187--2.202]   type = 11.00 (SB11_A_0_l)   stellarity = 0.84   chisq2 = 55.38   ODDS = 0.48   z_cluster = 0.228