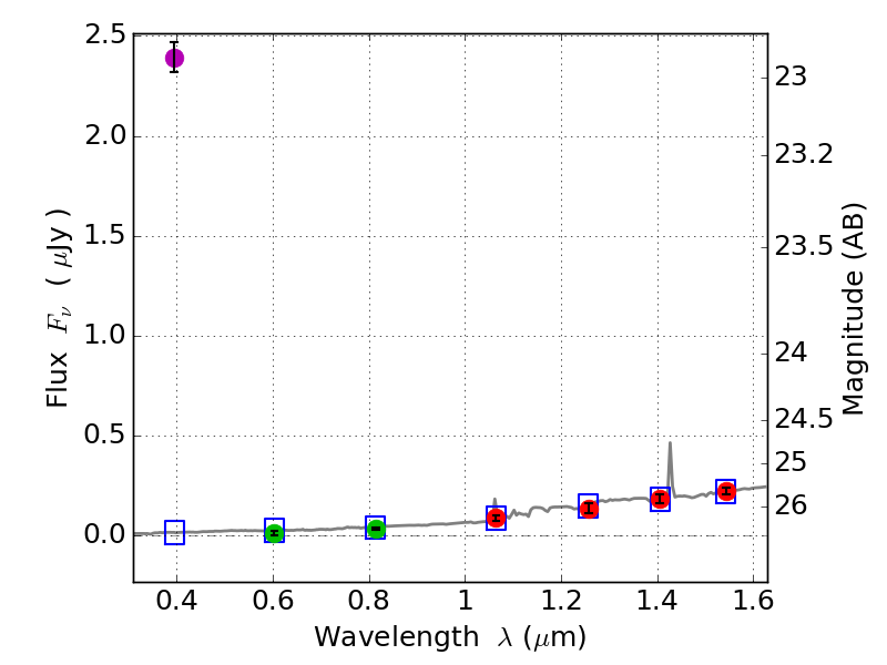
RXS0603+42-N IR detection object #2282

Color images and BPZ results
Catalog: 2282.cat
Black segments are analyzed here.   Roll mouse over color images to view segments.
Best viewed in a wide browser window (1200 pixels or more).   Download SED & P(z) plots to view larger versions.
In P(z) plots: Yellow lines mark the cluster redshift z = 0.228,  

Object #2282   x,y = (1815, 2777)   RA, Dec = (06:03:17.856, 42:16:04.44) = (90.82440, 42.26790)   BPZ = 1.853 [1.224--2.263]   type = 6.70 (Scd_B10 - Sbc_B10)   stellarity = 0.70   chisq2 = 228.90   ODDS = 0.29   z_cluster = 0.228