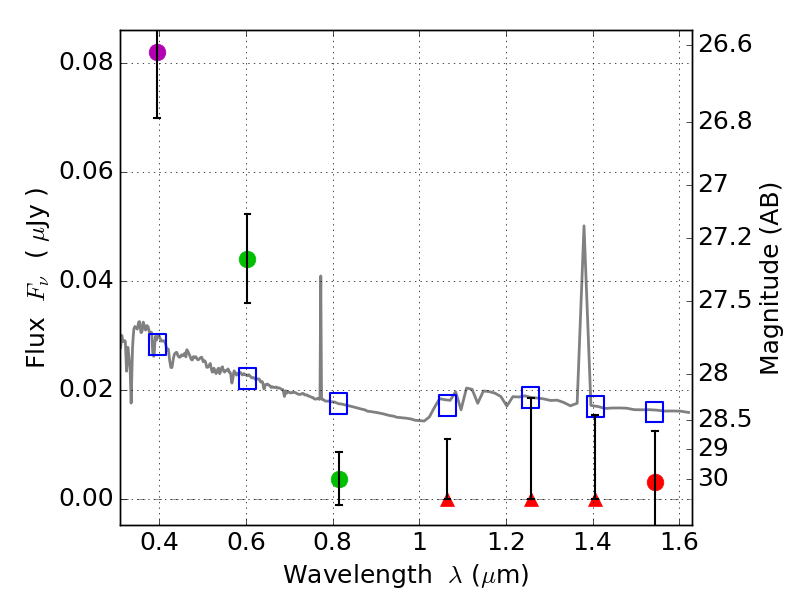
RXS0603+42-N IR detection object #2252

Color images and BPZ results
Catalog: 2252.cat
Black segments are analyzed here.   Roll mouse over color images to view segments.
Best viewed in a wide browser window (1200 pixels or more).   Download SED & P(z) plots to view larger versions.
In P(z) plots: Yellow lines mark the cluster redshift z = 0.228,  

Object #2252   x,y = (3501, 2798)   RA, Dec = (06:03:08.736, 42:16:05.52) = (90.78640, 42.26820)   BPZ = 1.764 [1.239--2.521]   type = 11.00 (SB11_A_0_l)   stellarity = 0.36   chisq2 = 9.81   ODDS = 0.34   z_cluster = 0.228