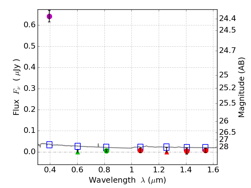
RXS0603+42-N IR detection object #2249

Color images and BPZ results
Catalog: 2249.cat
Black segments are analyzed here.   Roll mouse over color images to view segments.
Best viewed in a wide browser window (1200 pixels or more).   Download SED & P(z) plots to view larger versions.
In P(z) plots: Yellow lines mark the cluster redshift z = 0.228,  

Object #2249   x,y = (1885, 2800)   RA, Dec = (06:03:17.472, 42:16:05.52) = (90.82280, 42.26820)   BPZ = 1.701 [1.195--2.181]   type = 11.00 (SB11_A_0_l)   stellarity = 0.64   chisq2 = 128.20   ODDS = 0.49   z_cluster = 0.228