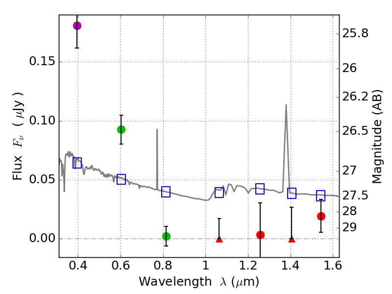
RXS0603+42-N IR detection object #2235

Color images and BPZ results
Catalog: 2235.cat
Black segments are analyzed here.   Roll mouse over color images to view segments.
Best viewed in a wide browser window (1200 pixels or more).   Download SED & P(z) plots to view larger versions.
In P(z) plots: Yellow lines mark the cluster redshift z = 0.228,  

Object #2235   x,y = (2439, 2806)   RA, Dec = (06:03:14.472, 42:16:05.88) = (90.81030, 42.26830)   BPZ = 1.764 [1.518--2.281]   type = 11.00 (SB11_A_0_l)   stellarity = 0.40   chisq2 = 17.77   ODDS = 0.45   z_cluster = 0.228