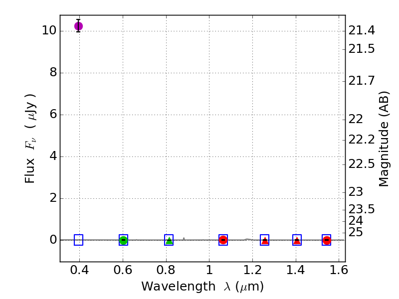
RXS0603+42-N IR detection object #2193

Color images and BPZ results
Catalog: 2193.cat
Black segments are analyzed here.   Roll mouse over color images to view segments.
Best viewed in a wide browser window (1200 pixels or more).   Download SED & P(z) plots to view larger versions.
In P(z) plots: Yellow lines mark the cluster redshift z = 0.228,  

Object #2193   x,y = (1831, 2792)   RA, Dec = (06:03:17.760, 42:16:05.16) = (90.82400, 42.26810)   BPZ = 1.375 [0.302--6.353]   type = 11.00 (SB11_A_0_l)   stellarity = 1.00   chisq2 = 287.10   ODDS = 0.09   z_cluster = 0.228