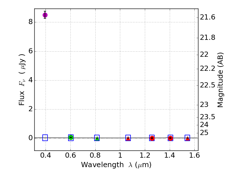
RXS0603+42-N IR detection object #2190

Color images and BPZ results
Catalog: 2190.cat
Black segments are analyzed here.   Roll mouse over color images to view segments.
Best viewed in a wide browser window (1200 pixels or more).   Download SED & P(z) plots to view larger versions.
In P(z) plots: Yellow lines mark the cluster redshift z = 0.228,  

Object #2190   x,y = (1811, 2817)   RA, Dec = (06:03:17.880, 42:16:06.60) = (90.82450, 42.26850)   BPZ = 1.763 [0.250--3.448]   type = 11.00 (SB11_A_0_l)   stellarity = 0.95   chisq2 = 287.60   ODDS = 0.16   z_cluster = 0.228