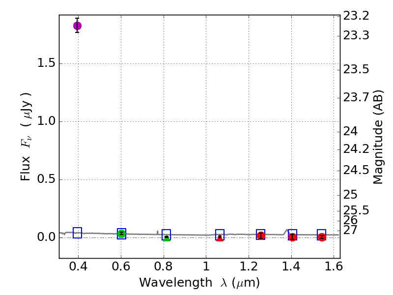
RXS0603+42-N IR detection object #2180

Color images and BPZ results
Catalog: 2180.cat
Black segments are analyzed here.   Roll mouse over color images to view segments.
Best viewed in a wide browser window (1200 pixels or more).   Download SED & P(z) plots to view larger versions.
In P(z) plots: Yellow lines mark the cluster redshift z = 0.228,  

Object #2180   x,y = (1873, 2824)   RA, Dec = (06:03:17.544, 42:16:06.96) = (90.82310, 42.26860)   BPZ = 1.763 [1.237--2.322]   type = 11.00 (SB11_A_0_l)   stellarity = 0.77   chisq2 = 211.10   ODDS = 0.41   z_cluster = 0.228