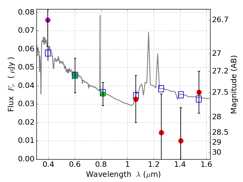
RXS0603+42-N IR detection object #2119

Color images and BPZ results
Catalog: 2119.cat
Black segments are analyzed here.   Roll mouse over color images to view segments.
Best viewed in a wide browser window (1200 pixels or more).   Download SED & P(z) plots to view larger versions.
In P(z) plots: Yellow lines mark the cluster redshift z = 0.228,  

Object #2119   x,y = (3037, 2848)   RA, Dec = (06:03:11.256, 42:16:08.40) = (90.79690, 42.26900)   BPZ = 1.829 [0.552--2.653]   type = 11.00 (SB11_A_0_l)   stellarity = 0.28   chisq2 = 1.18   ODDS = 0.22   z_cluster = 0.228