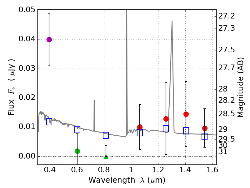
RXS0603+42-N IR detection object #2115

Color images and BPZ results
Catalog: 2115.cat
Black segments are analyzed here.   Roll mouse over color images to view segments.
Best viewed in a wide browser window (1200 pixels or more).   Download SED & P(z) plots to view larger versions.
In P(z) plots: Yellow lines mark the cluster redshift z = 0.228,  

Object #2115   x,y = (3319, 2854)   RA, Dec = (06:03:09.720, 42:16:08.76) = (90.79050, 42.26910)   BPZ = 1.597 [0.511--7.146]   type = 11.00 (SB11_A_0_l)   stellarity = 0.36   chisq2 = 3.97   ODDS = 0.13   z_cluster = 0.228